Für Sie kommentiert

Der Transport durch den Eileiter: Wie funktioniert er eigentlich? Und: Eine mögliche Erklärung für die Entstehung einer Eileiterschwan-gerschaft? / Ovarialkarzinom bei einem Transgender-Mann: Ein komple-xer Fall / FGM/FGC in der Schweiz – wie hoch ist die Prävalenz? / ­Prä­eklampsie am Termin: die Relevanz einer breiteren Definition des ­Syndroms / Alter, ­kardiale Hämodynamik und Inzidenz von SGA

Der Transport durch den Eileiter: Wie funktioniert er eigentlich? Und: Eine mögliche Erklärung für die Entstehung einer Eileiterschwangerschaft?

Menschen und Säugetiere haben es gemeinsam: Die Eileiter spielen eine zentrale Rolle bei der Befruchtung und dem Transport von Gameten und Embryonen.

Bei allen bewegen sich die ovulierten Cumulus-Oozyten-Komplexe (COC) im Rahmen einer konzertierten Aktion von uteruswärtsschlagenden Zilien, periodischen Muskelkontraktionen und regulierter Flüssigkeitssekretion der Tubarepithelien gegen den Sekretfluss in die Gegenrichtung zum Ovar hin! Die COC gehen rasch durch das Infundibulum durch zur Ampulle. Sie verharren dann am isthmoampullären Übergang (AIJ) für Stunden um nachher weiter zum Uterus transportiert zu werden.

Beim Menschen ist die AIJ auch der Ort der Befruchtung.

So ubiquitär dieses Phänomen ist, so wenig weiss man, wie dieser Ventilmechanismus an der AIJ geregelt wird. Die vorliegenden Experimente erhellen nun den zugrundeliegenden Mechanismus, weshalb nämlich der Flüssigkeitsstrom Richtung Ovar plötzlich nachlässt, die Blockade an der AIJ dadurch aufgehoben wird und der Weitertransport zum Uterus ermöglicht wird. In der vorliegenden eleganten experimentellen Untersuchung an Mäusen wies man eine genetische Ursache für den Mechanismus nach.

Adgrd1 ist ein G-Protein Rezeptor ,der im Eileiterepithel exprimiert wird (sowohl im Isthmus wie auch in der Ampulle, sowohl in sekretorischen wie auch zilientragenden Zellen).

Das Team erzeugte weibliche Mäuse ohne Adgrd1-Rezeptor, was zu einer Sterilität mit fehlerhaftem Embryotransport und Steckenbleiben der Embryonen an der AIJ führte. Bei den defekten Mäusen waren sowohl die Zilienaktivität wie auch die Muskelkontraktionen (hin und her wie ein Pendel) normal. Die Muskelaktivität hat eher die Funktion, den Tubeninhalt „zu mischen“ als fortzubewegen. Bleibt somit der Flüssigkeitsfluss (ovarwärts), der sich zyklisch ändert (stärkerer Flow Richtung Ovar während Ovulation, dann Abschwächung).

Bei den genetisch veränderten Mäusen nahm die Flowintensität nach der Ovulation nicht ab – die Embryonen blieben stecken.

Die Forscher wiesen zudem das Plxdc2-Protein im Cumulus-Oozyten-Komplex (COC) nach. Dieses Protein aktiviert den Adgrd1-Rezeptor und die Flüssigkeitsproduktion nimmt ab. Dieses Flussphänomen ist im Isthmus wegen engen Durchmessers am stärksten (starker Fluss: Stopp an der AIJ).

Die vorliegenden Untersuchungen weisen nicht nur unzweideutig auf eine genetische Basis des Embryotransportes hin, sondern geben auch eine Erklärung für den Ventilmechanismus (vorübergehender Stopp) an der AIJ. Die vorliegenden Daten bilden die Grundlagen für ein neues Modell des intratubaren Transports (Abb. 1).

Ovulierte COC’s werden rasch durch uteruswärts gerichtete Zilienbewegungen zum Isthmoampullären Übergang (AIJ) transportiert.

Die rhythmischen Muskelkontraktionen (Pendelförmig hin und her) dienen nicht dem Transport, sondern fördern die Durchmischung von COC und Spermien.

An der AIJ werden die COC’s durch einen relativ starken Flüssigkeitsfluss gestoppt (höherer Druck im engen Isthmus führt zu einem starken Flow Richtung Ovar).

Die graduelle Freisetzung der Kumuluszellen (die Hyaluronsäure-Matrix löst sich auf und setzt das Plxdc2-Protein der Kumuluszelle frei, welches an den Adgrd1-Rezeptor der Tubenepithelien andockt und diesen aktiviert, was zu einer Reduktion der Flüssigkeitsproduktion führt).

Der Embryo überwindet nun die AIJ-Barriere.

Das bedeutet, dass die Kumuluszellen nicht nur die Oozytenentwicklung fördern, sondern auch mit dem Eileiter kommunizieren („Cross-Talk“) und so den Transport durch die Tube mitregeln. Der Flüssig­keitsfluss lenkt auch den Spermientransport aus dem Speicherort Isthmus zum Befruchtungsort Ampulle (Bianchi, E. et al.: Nature Commun. 2021; 12:12551).

Kommentar

Die vorliegenden Ergebnisse (vorerst bei Mäusen) zeigen, dass ein wichtiger Regulator des Transportes nicht nur im Tubenephitel liegt, sondern auch im „Paket“ (Cumulus-Oozyten-Komplex). Erst eine Interaktion dieser beiden ermöglicht den Weitertransport des Embryos.

Die Autoren spekulieren, dass Störungen in diesem „Cross-Talk“ auch bei ungeschädigten Eileitern zu einer Blockade des Embryos an der AIJ führen könnte und der sich dann am Ort weiter entwickelnde Embryo hier implantieren könne. Die Folge davon wäre dann eine Eileiterschwangerschaft.

Ein interessanter Gedanke, der Anlass zu weiteren Untersuchungen in dieser Richtung geben sollte.

Michael K. Hohl

Ovarialkarzinom bei einem Transgender-Mann: Ein komplexer Fall

Ein Case-Report ist unüblich in dieser Rubrik. Dieser aber ist so facettenreich, dass ich ihn gerne teilen und kommentieren möchte: Ein 36-jähriger Transgender-Mann (biologisch als Frau geboren, unter transdermaler Testosterontherapie) wird mit Unterbauchschmerzen eingewiesen. Ein zystisch solider Adnextumor rechts wird als Ursache der Beschwerden ausgemacht. Dieser wird per Laparoskopie entfernt, er stellt sich als endometrioides Karzinom heraus, die Symptomatik resultiert aus einer Torquierung. Im Verlauf findet die Komplettierungsoperation mit Hysterektomie, kontralateraler Adnexektomie, Omentektomie und pelviner und paraaortaler Lymphadenektomie statt. Anschliessend erfolgt die adjuvante Chemotherapie mit Paclitaxel und Carboplatin. Das Tumorstadium des endometrioiden Tumor ist FIGO IIA, G2. Immunhistochemisch wird eine Rezeptor-Positivität für Östrogene, Progesteron und Androgene festgestellt. Genau an diesem Punkt beginnt die besondere Diskussion über die weitere Behandlung des Patienten, insbesondere über die Möglichkeit der weiteren Testosteronapplikation. Androgene können einen karzinogenen Effekt auf das Endometrium haben. Wir kennen diesen Effekt in der Praxis von androgenproduzierenden Keimstrangstromatumoren wie dem Sertoli-Leydigzelltumor, der nicht selten zu einem synchronen Endometriumkarzinom führt. Hat also die Androgentherapie in diesem Fall zu einer malignen Transformation eines Endometrioseherdes im Ovar geführt? Möglich ist dies, aber im aktuellen Fall natürlich nicht zu beweisen. Spannend ist auch die Frage, ob die Testosterontherapie nach der adjuvanten Chemotherapie wieder begonnen werden kann. Hierzu liegen erwartungsgemäss keine validen Daten vor, generell sollte eine Hormongabe sicher kritisch diskutiert werden. Im vorliegenden Fall entscheidet sich der Patient gegen die Fortführung der endokrinen Therapie. Bei dem jungen Patienten muss in der Nachsorge ein besonderes Augenmerk auf die psychosoziale Situation und auch die Knochengesundheit gelegt werden.

Kommentar

Dieser Fallbericht ist aussergewöhnlich und komplex. Transgender wird aktuell viel in Medien thematisiert und enttabuisiert. Es ist anzunehmen, dass Hormonbehandlungen in diesem Kontext zunehmen werden und somit auch ähnlich komplexe medizinische Fragestellungen (Aubrey C et al., Gyn Onc 2021; 161(2):342–6).

Martin Heubner

FGM/FGC in der Schweiz – wie hoch ist die Prävalenz?

Wir werden in der gynäkologisch-geburtshilflichen Sprechstunde, aber auch in der Pädiatrie, Hausarztmedizin und Inneren Medizin und Urologie medizinisch, menschlich und sozial mit den Aspekten der weiblichen Genitalbeschneidung und -verstümmelung (FGM/FGC) konfrontiert. Nicht ganz zu Unrecht fragen wir uns, wie viele Mädchen und Frauen in der Schweiz eigentlich davon betroffen sind, warum wir so viele oder gar keine von diesen Mädchen und Frauen in den Sprechstunden sehen und welche Probleme daraus resultieren können. Der folgende Artikel beleuchtet die Prävalenz in der Schweiz.

Mit zunehmender Migration werden wir mit Aspekten, die vielleicht vor 100 Jahren in der Schweiz noch nicht endemisch waren, konfrontiert; die weibliche Genitalbeschneidung und -verstümmelung (FGM/FGC) gehört sicherlich zu diesen Themen dazu.

In der Geburtshilfe werden wir mit Fragen der Defibulation und Re-Infibulation, erhöhten Sektioraten und Wundheilungsfragen konfrontiert, in der gynäkologischen Sprechstunde mit Dyspareunie, Infertilität, Menstruationsproblemen und urogynäkologischen Beschwerden.

Es stellt sich immer einmal wieder die Frage, wie häufig solche Probleme eigentlich vorkommen und wie hoch möglicherweise auch die Dunkelziffer ist. Sprachbarrieren, soziale Umstände und kulturelle Hindernisse sorgen möglicherweise für eine grössere Dunkelziffer, als wir erahnen.

Die vorliegende Studie versucht eine Einschätzung der Prävalenz des FGM/FGC anhand von statistischen Einschätzungen.

Analysiert und detailliert werden Prävalenzdaten aus den Herkunftsländern und diese dann umgerechnet auf die aus den Ursprungsländern gemäss Bundesamt für Statistik in der Schweiz gemeldeten Personen.

Nicht ganz überraschend – im Vergleich zum Jahr 2009 waren etwas über 9000 Mädchen und Frauen mit FGM/FGC geschätzt, im Jahr 2018 über 21 000, was mehr als eine Verdoppelung bedeutet.

Eine Hauptkritik an dieser Publikation ist die lediglich indirekte Einschätzung dieser Zahlen, die viele Pitfalls und Schwächen aufweist; spannend wäre es z.B. gewesen, diese geschätzten Zahlen mit den Qualitätskontrollen der Universitätskliniken und anderer grösserer Spitaler, die das betroffene Klientel betreuen, zu vergleichen und Schlüsse bezüglich der hauptsächlich vorliegenden medizinischen Problematiken ziehen zu können.

Es werden zwar sicherlich interessante Daten gezeigt, die uns noch bewusster machen, wie sehr die Aspekte von FGM/FGC in unserem Alltag erscheinen, und dass wir als GynäkologInnen uns hinsichtlich Diagnostik und Therapie kenntlich machen müssen, der direkte klinische Bezug fehlt aber leider.

Wir erwarten mit Spannung die Folgestudien, die uns Einblick in den klinischen Alltag mit Mädchen und Frauen, die FGM/FGC haben, geben.

Annette Kuhn

Präeklampsie am Termin: die Relevanz einer breiteren Definition des Syndroms

Wenn wir an Präeklampsie denken, dann fallen uns stets die Verläufe mit schwerer Hypertonie, schwer kranker und gefährdeter Frau in einem frühen Gestationsalter ein. Ich erinnere mich immer wieder (und auch gerne) an die Bilder im Netter-Atlas zu diesem Thema. Dort war noch die EPH-Gestose abgebildet als diagnostische Trias von generalisierten Ödemen („E“ für edema), Hypertonie und Proteinurie. Das Screening nach diesen Symptomen und Laborparametern hat dazu geführt, dass die Mortalität und Morbidität in den letzten 100 Jahren v.a. in den industrialisierten Ländern durch frühzeitige Intervention eindrücklich abgenommen hat. In England liegt die Präeklampsie als Ursache der maternalen Mortalität an 11. Stelle! [1]

Heutzutage haben wir auch – ähnlich dem Screening nach Down-Syndrom – ein potentes Tool, um Frauen mit erhöhtem Risiko für eine frühe (<37 Wochen) Präeklampsie zu identifizieren und dieses Risiko mit einer simplen Gabe von 150mg Aspirin abends signifikant zu senken [2].

Die meisten PE werden nach der 37. Woche manifest und können initial weniger spektakulär verlaufen. Dies hat auch dazu geführt, dass gewisse Exponenten von einer anderen Pathophysiologie der späten Präeklampsie ausgehen und von „maternaler“ bzw. „metabolischer“ als Gegensatz zur „plazentaren“ Präeklampsie reden. Das mag wohl richtig sein, da eine hohe Korrelation mit Gestationsdiabetes und auch Adipositas bekannt ist. Dazu kommt auch, dass der Screeningtest im ersten Trimenon für diese späten Formen nicht zu funktionieren scheint.

Zurückkommend auf den Netter-Atlas wurden im Verlauf der Jahre die Ödeme als Zeichen der Präeklampsie aus der Definition entfernt, da diese offenbar zu unspezifisch waren. In der heutigen Zeit ist der Trend jedoch ganz anders. Die Erkenntnis, dass die Präeklampsie ein Syndrom darstellt und die „einfache“ Definition Hypertonie und Proteinurie die Dynamik des Krankheitsbildes zu wenig gut zu erfassen vermag bzw. zu statisch ist, haben verschiedene Gesellschaften neue Kriterien eingeführt, welche dem Rechnung tragen. Eine kürzlich erschienene Übersichtsarbeit hat genau dies untersucht [3]. Inwieweit können zusätzliche Parameter assoziiert mit Hypertonie besser differenzieren, welche Frauen ein schlechteres Outcome haben? Tabelle 1 fasst die verschiedenen Definition zusammen. Dabei geht klar hervor, dass die Proteinurie lediglich noch für die klassische oder traditionelle Präeklampsie eine Rolle spielt.

Aus einer relativ simplen Definition ist nun ein komplexes Unterfangen geworden, ein Kaleidoskop von Klinik und Laboruntersuchungen, welche in verschiedenen Kombinationen auch als Präeklampsie bezeichnet werden können. Unter all diesen zusätzlichen Faktoren scheinen die Angiogenesemarker sFlt-1 und PlGF sowie deren Ratio eine wichtige Rolle zu spielen. Eine Dominanz der anti-Angiogenese zusammen mit Informationen zur plazentaren Funktion (Gruppe ISSHP-MF-AI in der Grafik) scheinen einen ungünstigen Verlauf am besten zu erfassen [3, 4].

Diese Erkenntnisse bestätigen eine frühere Untersuchung, welche ebenfalls zeigen konnte, dass eine restriktive Definition der Präeklampsie eine niedrigere Detektionsrate für Komplikationen aufgewiesen hat als eine breiter gefasste Definition [4]. Jedenfalls sind wir noch weit weg von einer besseren bzw. einheitlicheren Definition dieses Syndroms. Die Ursache bleibt weiterhin unklar, auch wenn die Angiogeneseparameter neue Impulse gesendet haben.

Literatur

  1. Knight M et al. on behalf of MBRRACE-UK. Saving Lives, Improving Mothers’ Care – Lessons learned to inform maternity care from the UK and Ireland Confidential Enquiries into Maternal Deaths and Morbidity 2016–18. Oxford: National Perinatal Epidemiology Unit, University of Oxford 2020
  2. Rolnik DL et al., N Engl J Med 2017; 377: 613–22
  3. Lai J et al., Am J Obstet Gynecol 2021;224:518.e1–11
  4. Duhig KE et al., Lancet 2019 May 4; 393(10183):1807–18
  5. Magee LA et al. BJOG 2021; 128:1373–82

Luigi Raio

Alter, kardiale Hämodynamik und Inzidenz von SGA

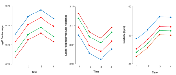
Das in den meisten industrialisierten Ländern beinahe linear ansteigende Alter der Frauen zum Zeitpunkt ihrer ersten Geburt gilt als ein Risikofaktor für einen ungünstigen Schwangerschaftsverlauf. Tatsächlich gibt es eine Assoziation zwischen fortgeschrittenem Alter (≥35 Jahre) und Frühgeburtlichkeit, SGA und perinataler Mortalität [1, 2]. Eine mögliche Ursache für diese Assoziation könnte eine gestörte oder insuffiziente maternale, hämodynamische Antwort auf die Bedürfnisse der Schwangerschaft sein. Der biologische Mechanismus des Alterns auf das Herzkreislaufsystem scheint getriggert zu sein durch eine reduzierte Gefässcompliance, eine gestörte endothelabhängige Vasodilatation und Hypertonie [3]. Auf kardialer Ebene postuliert man eine reduzierte Pumpleistung bedingt durch den Verlust von Myozyten und milder Hypertrophie und verringerter Sensibilität gegenüber dem Sympathikus. Es wurde auch eine Assoziation gefunden zwischen Alter und höherer Impedanz im uterinen Kreislauf, Gefässsteifigkeit (Stiffness), systemischem Gefässwiderstand und diastolischem Blutdruck. Diese Parameter sind sehr suggestiv für eine altersbedingte, kardiovaskuläre Dysfunktion.

Tatsächlich stellt die Schwangerschaft eine gewaltige Belastung für das Herzkreislaufsystem dar. Eine gestörte Anpassung wird heutzutage auch als mögliche Ursache für die Entwicklung einer Präeklampsie (PE) mit oder ohne Plazentainsuffizienz angesehen, was auch den Kreis schliessen würde zwischen PE und späteren kardiovaskulären Erkrankungen. Das klassische Profil dabei ist ein tiefes Herzminutenvolumen (HMV) mit hohem peripheren Widerstand [4].

In einer kürzlich publizierten prospektiven Studie von Ling HZ et al. [5] wurde der Einfluss des maternalen Alters auf die kardiale Adaptation longitudinal untersucht. Es wurden vier Altersgruppen definiert <25 Jahre, 25–30, 30.1–34.9 und ≥35. Erwartungsgemäss wiesen die Frauen in Gruppe 1 das höchste HMV mit dem niedrigsten peripheren Widerstand auf und umgekehrt die Frauen der Gruppe 4 hatten einen signifikant höheren peripheren Widerstand und ein tieferes HMV. Soweit so gut. Komisch aber, dass in Gruppe 1 und 2 mit besserer kardiovaskulärer Funktion die Kinder insgesamt leichter waren und die Inzidenz von SGA-Kindern signifikant höher war. Hinsichtlich Präeklampsie wurden keine Unterschiede zwischen den Gruppen gefunden. Was ich etwas schade finde, ist, dass man keine gute Erklärung präsentiert hat für diese Resultate. Etwas mehr Nikotin bei den Jungen und vielleicht bessere sozioökonomische Faktoren bei den älteren Frauen wurden als mögliche Ursachen für diese Unterschiede postuliert. Meines Erachtens spielt neben der kardialen und vaskulären Adaptation auch die renale bzw. die intravasale Volumenanpassung eine wichtige Rolle. Leider wurden keine Faktoren bestimmt, welche über diese Prozesse Auskunft geben könnten. Jedenfalls waren die Kreislaufparameter zwar signifikant unterschiedlich, ob dies auch klinisch relevant ist, zeigen die erwähnten Resultate nicht.

Literatur

  1. Laopaiboon M et al., BJOG 2014; 121:49–56
  2. Huang L et al., CMAJ 2008; 178:165–72
  3. Lakatta EG et al., Circulation 2003; 107:139–46
  4. Stott D et al., Ultrasound Obstet Gynecol. 2018; 52:359–64
  5. Ling HZ et al., Ultrasound Obstet Gynecol. 2021 ; Feb 16

Luigi Raio

Diese Webseite verwendet Cookies. Durch die Nutzung der Webseite stimmen Sie der Verwendung von Cookies zu. Datenschutzinformationen
loading