Frauen bevorzugen Spätherbst, um schwanger zu werden/Vaginales Ut-rogestan und Abort/Lactobazillen wichtig für Candidabesied-lung/Hormonersatztherapie zu selten angewendet bei Tumorpatientin-nen/Coronakrise: OP der sicherste Ort!/Disneyfilme während der Che-motherapie
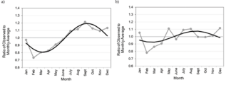
Die vorliegende Studie wählte einen neuen Ansatz: Konzeptionswillige Frauen aus Dänemark (11 655 Frauen) und Nordamerika (7443 Frauen) wurden alle zwei Monate befragt und auftretende Schwangerschaften prospektiv registriert.
Somit war es möglich, periodische Variationen bei der Fekundabilität festzustellen. Die Versuche hatten eine Spitze im September (in Nordamerika deutlicher als in Dänemark).
Die Fekundabilität hatte eine Spitze Ende November/anfangs Dezember in beiden Kollektiven (ausgeprägter in Nordamerika). Innerhalb Nordamerikas gab es die stärksten saisonalen Abweichungen in den südlicher gelegenen Staaten (Wesselink, A. K., et al., Hum. Reprod. 2020; 35:565–72).
Kommentar
Diese Ergebnisse basieren auf recht komplizierter Statistik und sind durch grosse prospektive Zahlen untermauert. Sie zeigen, dass Frauen besonders in südlichen Breitengraden vermehrt im Herbst beginnen, ihren Kinderwunsch umzusetzen. Es könnte sein, dass der bewusste Entscheid der Frauen für den Zeitpunkt einer Schwangerschaft eine wichtigere Rolle spielt als bisher angenommen.
m.k.h.

(Coomarasamy, A., et al., AJOG 2020; https://doi.org/10.1016/j.ajog.2019.12.006)
Kommentar
Ich habe erst vor Kurzem an einem Webinar mitgemacht mit u. a. dem Thema Progesteron zur Frühgeburtsprävention. Hatte mich sorgfältig darauf vorbereitet und die aktuelle Literatur studiert. Hatte auch die PROMISE- (Abortprophylaxe mit Progestern bei Frauen mit ungeklärten, habituellen Aborten) und die PRISM-Studie (Abortprävention mit Progesteron bei Frauen mit Abortus imminens Symptomatik) studiert. Beide Studien haben gezeigt, dass das erklärte Ziel einer Abortprophylaxe in diesen beiden Kollektiven nicht erreicht wurde. Nun, in der vorliegenden Arbeit hat der gleiche Autor eine Subanalyse aus seinen beiden erwähnten Studien durchgeführt. Dabei scheint der Einsatz von Utrogestan in der Kombination von Zustand nach ein oder mehreren, ungeklärten Aborten UND Imminens-Symptomatik − auch wenn statistisch wacklig − gerechtfertigt zu sein ab klinischer Präsentation mit Blutungen bis zur 17. Woche.
l.r.
Candida findet sich bei vielen, aber nicht bei allen Frauen im vaginalen Mikrobiom. Eine aktuelle Studie beschäftigte sich nun mit der Frage, ob die Zusammensetzung des bakteriellen Mikrobioms hierfür ursächlich sein könnte. Eine entsprechende Analyse des vaginalen Mikrobioms fand bei 250 nichtschwangeren prämenopausalen Frauen statt. In 16 % konnte eine Kolonisation mit Candida diagnostiziert werden. Ein signifikant höheres Risiko für eine Besiedlung (OR 2.85) bestand bei Frauen, bei denen bakteriell Lactobacillus iners dominierte. Das Risiko für Patientinnen mit Lactobacillus crispatus dominantem Mikrobiom war dagegen geringer, vermutlich bedingt durch eine vergleichsweise höhere Milchsäureproduktion (Brett A, et al. AJOG 2020;222:471).
m.h.
Ein „Dauerbrenner“, über den wir auch schon in der FHA geschrieben haben: Sind Hormone schädlich für Patientinnen nach gynäkologischer Tumorerkrankung? Oder Patientinnen mit hohem Risiko für eine Tumorerkrankung? Wie so häufig lässt sich diese Frage nicht generell beantworten. Ein gutes Expertenstatement gibt es nun von der SGO (Society of Gynecologic Oncology), hier werden unterschiedliche Fragestellungen im Detail thematisiert. Ein grundsätzliches Statement lautet: obwohl das Nutzen-Risiko-Verhältnis häufig für eine HRT spricht, wird diese zu vielen Patientinnen vorenthalten (Sinno AK, et al. Gyn. Onc. 2020;157:303–6).
m.h.
Eine kürzliche Publikation in einem renommierten Journal diskutiert die Sicherheit von Laparoskopien in Zeiten von Corona.
In dieser Risikosituation sind viele Fragen, die den generellen Umgang mit Patienten betreffen, offen, auch der spezielle Umgang im OP. Wie hoch ist das Kontaminationsrisiko im Umgang mit nicht-atemwegsassoziierten Körperflüssigkeiten, das Ansteckungsrisiko beim Umlagern, intraoperativ bei welchen Interventionen und in der postoperativen Pflege?
Die vorliegende Arbeit analysiert das intraoperative Infektionsrisiko im Hinblick auf Laparoskopien und im Vergleich zu offenen Interventionen und bestätigt, was unsere Fachgruppe bereits empfiehlt.
Mit gewissen Sicherheitsmassnahmen – niedriger Druck bei der Laparoskopie, kontrolliertes und gefiltertes Ablassen des intraabdominellen Gases – ist die Laparoskopie auch in Covid-Zeiten sicher und machbar. Wir dürfen also weiter laparoskopieren! (Morris, SN, et al., J Minim Invasive Gynecol 2020;27:789–791).
a.k.
56 Patientinnen mit gynäkologischen Karzinomen, die sechs Zyklen einer Chemotherapie mit Carboplatin/Paclitaxel oder Carboplatin/pegyliertes liposomales Doxorubicin erhielten, wurden randomisiert. Die Hälfte der Patientinnen schaute während der Chemotherapie Disney-Filme, die andere Hälfte nicht. Vor und nach jedem Zyklus beantworteten sie standardisierte Fragebögen der EORTC (European Organisation for Research and Treatment of Cancer). Patientinnen in der Disney-Gruppe waren signifikant weniger angespannt und besorgt als Patientinnen in der Kontrollgruppe, die keine Filme sahen. Auch zeigte sich in der Disney-Gruppe eine geringere Beeinträchtigung des Familienlebens und der sozialen Aktivitäten der Patientinnen und die Fatiguesymptomatik schien weniger ausgeprägt.
Die Autoren der Studie schlussfolgern, dass
das Schauen von Disney-Filmen während der Chemotherapie mit Verbesserungen im
Bereich „emotional functioning“, „social functioning“ sowie bei der
Fatiguesymptomatik assoziiert sein könnte bei Patientinnen mit gynäkologischen
Karzinomen (Pils. S., et al., JAMA Netw Open Actions; 2020:e204568. doi:
10.1001/jamanetworkopen.
2020.4568).
c.l.